Diário Oficial da União - Seção 1 - Nº 222, terça-feira, 21 de novembro de 2006
MINISTÉRIO DA AGRICULTURA, PECUÁRIA E ABASTECIMENTO
SECRETARIA DE POLÍTICA AGRÍCOLA
PORTARIA Nº 8, DE 26 DE OUTUBRO DE 2006
O SECRETÁRIO DE POLÍTICA AGRÍCOLA DO MINISTÉRIO DA AGRICULTURA, PECUÁRIA E ABASTECIMENTO, ino uso da atribuição que lhe confere o art. 42, do Anexo I, do Decreto nº 5.351, de 21 de janeiro de 2005, e o que consta do Processo nº 21000.010292/2006 - 62, resolve:
Art. 1º Submeter à consulta pública, pelo prazo de 60 (sessenta) dias, a contar da data de publicação desta Portaria, os Requisitos Técnicos Recomendados ou Obrigatórios para a Certificação de Unidades Armazenadoras em Ambiente Natural e o Regulamento de Avaliação da Conformidade das Unidades Armazenadoras - RAC.
Art. 2º As respostas à consulta pública de que trata o art. 1º deverão ser encaminhadas, por escrito, à Diretoria de Gestão de Estoques da Companhia Nacional de Abastecimento - Conab no SGAS, Quadra 901, Bl “A”, lt 69, sala 224, CEP: 70.390-010 - Brasília - DF, ou enviadas para o endereço eletrônico: diges@conab.gov.br.
Art. 3º Findo o prazo estabelecido no art. 1° desta Portaria, a Companhia Nacional de Abastecimento - Conab e o Instituto Nacional de Metrologia, Normalização e Qualidade Industrial – Inmetro avaliarão as propostas recebidas e, juntamente com todas as entidades que participaram da Portaria Interministerial nº 40, farão os ajustes que se fizerem necessários.
Art. 4º Esta Portaria entra em vigor na data de sua publicação.
EDILSON GUIMARÃES
Diário Oficial da União - Seção 1 - Nº 223, quarta-feira, 22 de novembro de 2006
SECRETARIA DE POLÍTICA AGRÍCOLA
PORTARIA No- 8, DE 26 DE OUTUBRO DE 2006
(Publicada no DOU de 21/11/2006)
ANEXO I (*)
REQUISITOS TÉCNICOS OBRIGATÓRIOS OU RECOMENDADOS PARA CERTIFICAÇÃO DE UNIDADES ARMAZENADORAS EM AMBIENTE NATURAL
O estabelecimento de procedimentos que visem modernizar as atividades de guarda e conservação de produtos agropecuários tem sido um dos anseios principais reivindicados pelos segmentos que se relacionam com os prestadores de serviços de armazenagem.
Um destes procedimentos é sem dúvida o estabelecimento de regras para construção, instalação e funcionamento de estruturas de armazenamento.
A criação de normas para licenciamento destas estruturas ou mesmo a idealização de um sistema de certificação são alguns dos procedimentos que podem ajudar, juntamente com outros fatores, a modernizar o setor de armazenamento.
A Lei nº 9.973, de 29 de maio de 2000, em seu art. 2º, criou o sistema de certificação, com base no Sistema Brasileiro de Certificação (SBAC) instituído pelo CONMETRO, reconhecido pelo Estado Brasileiro e que possui regras próprias e procedimentos de gestão.
Os requisitos técnicos para Certificação de Unidades Armazenadoras foram definidos por Grupo de Trabalho, com representantes da iniciativa privada e pública envolvidos com o setor armazenador. Estes requisitos foram classificados como obrigatório (O) e recomendados (R), sendo os obrigatórios subdividos em
(O1) requisito obrigatório no momento da vistoria da unidade armazenadora pela entidade certificadora;
(O2) requisito obrigatório para todas as unidades armazenadoras cujo início das obras dar-se-á após a homologação pelo MAPA do Sistema Nacional de Unidades Armazenadoras;
(O3) requisito obrigatório que deverá ser cumprido no prazo de até três anos após a homologação pelo MAPA do Sistema Nacional de Unidades Armazenadoras;
(O4) requisito obrigatório que deverá ser cumprido no prazo de até cinco anos após a homologação pelo MAPA do Sistema Nacional de Certificação de Unidades Armazenadoras.
Cabe salientar que além da necessidade da observância desses requisitos técnicos recomendados ou obrigatórios, os armazéns deverão atender ao determinado na legislação e nas normas pertinentes a atividade de armazenamento.
Os requisitos técnicos recomendados ou obrigatórios para certificação de unidades armazenadoras em ambiente natural são os constantes no quadro resumo.
Conceitos e Definições
Certificação - é o reconhecimento formal, concedido por um organismo autorizado, de que uma entidade tem competência técnica para realizar serviços específicos. È um indicador para os usuários que as atividades desenvolvidas por um prestador de serviços atendem a um padrão mínimo de qualidade; que possuem os requisitos técnicos mínimos estabelecidos no regulamento para o exercício daquela atividade.
Armazém “em nível de fazenda” - armazém localizado em propriedade rural, com capacidade estática e estrutura dimensionada para atender ao produtor ou produtores de forma coletiva, que se destina ao processamento de produtos oriundos da lavoura e prestação de serviços necessários à sua guarda e conservação.
Armazém coletor - armazém localizado na zona rural ou urbana com características operacionais próprias, dotados de equipamentos para processamento de limpeza, secagem e armazenagem com capacidade operacional compatível com a demanda local. Em geral, são armazéns que recebem grãos diretamente das lavouras para prestação de serviços para vários produtores.
Armazém intermediário - armazém localizado em ponto estratégico de tal modo a facilitar a recepção e o escoamento dos produtos provenientes dos armazéns coletores. Permitem a concentração de grandes estoques em locais destinados a facilitar o processo de comercialização, industrialização ou exportação, e por seu porte e condições técnica, asseguram níveis de segurança para a conservação de grandes massas de grãos por longos períodos.
Armazém terminal - armazém localizado junto aos grandes centros consumidores ou nos portos. São dotados de condições para a rápida recepção e o rápido escoamento do produto, caracterizando armazém de alta rotatividade.
Balança - equipamento utilizado para determinar o peso relativo dos corpos. Conforme legislação brasileira todas as balanças deverão ser aferidas pelo Inmetro.
Tipos de Balanças:
Balança móvel - são balanças que podem ser deslocadas para qualquer ponto do armazém.
Balança rodoviária/ferroviária - são balanças fixas, normalmente localizadas no exterior do armazém, para caminhões ou vagões ferroviários.
Balança de fluxo - conforme o próprio nome indica, essa balança destina-se a pesar o produto que esteja em movimento.
Quadro Resumo dos Requisitos Obrigatórios ou Recomendados para Certificação de Unidades Armazenadoras em Ambiente Natural



1. Cadastramento
De acordo com o contido no Inciso II do art. 10º da Lei nº 9973, de 29/05/2000 e no Inciso I do art. 9º do Decreto nº 3855, de 03/07/2001, toda unidade armazenadora pertencente à pessoa jurídica de direito público ou privado, na qualidade de proprietário, locatário, arrendatário, ou cessionário a qualquer título que se encontra prestando serviços de guarda e conservação de produtos agrícolas para terceiros ou armazenando produto de sua propriedade terão que comunicar oficialmente ao Ministério da Agricultura, Pecuária e Abastecimento - MAPA, as informações na forma e periodicidade que este regulamentar.
No âmbito do MAPA, cabe à Companhia Nacional de Abastecimento - Conab a execução desta operação, razão pela qual as comunicações deverão ser enviadas às Superintendências Regionais da referida Companhia ou a sua Matriz em Brasília (DF). Posteriormente, de posse das informações relativas à identificação do armazém, os técnicos da Conab efetuaram in loco vistoria na Unidade Armazenadora, objetivando verificar os aspectos operacionais dos armazéns.
O cadastramento tem como objetivo apurar, sistematicamente as informações sobre as unidades armazenadoras (ambiente natural e artificial) registrando sua identificação, capacidade e qualificação técnica e permitir o conhecimento da localização, capacidade estática e características da rede armazenadora do País.
O mesmo procedimento deverá ser adotado pelos armazéns que tiverem suas obras de instalação ou ampliação da capacidade estática concluídas.
2. Localização
É recomendado que previamente à construção da unidade armazenadora ou da ampliação da sua capacidade estática, seja efetuado um levantamento topográfico e uma avaliação do lençol freático do local da obra com vistas a evitar problemas futuros.
Toda unidade armazenadora cuja construção ou ampliação da sua capacidade estática se iniciar a partir da publicação das regras do Sistema Nacional de Certificação de Unidades Armazenadoras deverá possuir um sistema de drenagem adequado e observar as normas ambientais quanto às atividades industriais próximas a centros urbanos e mananciais.
3. Infra-estrutura
A infra-estrutura viária existente no recinto da unidade armazenadora deve permitir trânsito permanente e ser bem sinalizada quanto ao fluxo dos veículos, sendo obrigatória para todas as unidades armazenadoras.
A pavimentação será obrigatória para os armazéns coletores, intermediários e terminais. Para a execução e conclusão da referida pavimentação dar-se-á prazo de até três anos para os armazéns coletores e de até cinco anos para os armazéns intermediários e terminais, a partir da publicação das regras do Sistema Nacional de Certificação de Unidades Armazenadoras. Exclusivamente no caso dos armazéns coletores será admitido o cascalhamento como tipo de pavimentação.
É obrigatória a existência de meio de comunicação permanente da unidade armazenadora com o público externo, seja por telefone, fax, eletrônico ou outro sistema usual.
A unidade armazenadora deverá ser dotada de energia (própria ou de concessionária) para possibilitar todas as atividades operacionais, desde o recebimento até a expedição da mercadoria.
4. Isolamento/acesso
Todas unidades armazenadoras deverão possuir cerca, de qualquer tipo, ao redor dos prédios e instalações, de tal forma que não se permita o acesso de pessoas estranhas à atividade, e de animais domésticos. O acesso às instalações dar-se-á através de portões.
Recomenda-se a existência de um serviço de segurança interna e/ou externa, assim como guarita de controle no portão de acesso principal, em todas as unidades armazenadoras.
5. Ambiente de atendimento ao público
No ambiente de atendimento ao público em todas unidades coletoras, intermediárias e terminais, a serem construídas a partir da publicação das regras do Sistema Nacional de Certificação de Unidades Armazenadoras, será obrigatória a existência de estacionamento, com acesso ao público (visitante/cliente).
É obrigatório em todas unidades armazenadoras à existência de banheiros, para atendimento aos visitantes/clientes.
No caso da existência de refeitórios, todo ambiente deverá atender as exigências da vigilância sanitária e demais requisitos legai
6. Escritório
É obrigatória a existência de instalações sanitárias para os funcionários e demais pessoas que trabalham na unidade armazenadora. O escritório deve possuir um ambiente específico para arquivo dos documentos e demais materiais de escritório.
O escritório deve possuir, no mínimo, equipamentos de informática que possibilitem a geração de relatórios atualizados sobre as entradas, saídas e saldos de estoques, por produto e proprietário.
7. Sistema de pesagem
É obrigatória a existência de balança de plataforma móvel, verificada anualmente pelo Inmetro, nas unidades armazenadoras convencionais em nível de fazenda, coletoras, intermediárias e terminais.
É obrigatória a existência de balança de plataforma rodoviária nas unidades armazenadoras a granel “em nível de fazenda”, coletoras, intermediárias e terminais.
Recomenda-se que as unidades armazenadoras convencionais “em nível de fazenda” e coletoras, tenham, também, balança de plataforma rodoviária.
No caso dos armazéns convencionais que possuem a balança de plataforma rodoviária, não será obrigatória a existência de balança de móvel.
Recomenda-se ainda, a existência de balança de fluxo nas unidades armazenadoras terminais a granel.
8. Sistema de amostragem
O sistema de amostragem compreende um conjunto de equipamentose normas operacionais que visam a obtenção de uma amostra representativa do lote da mercadoria que está sendo avaliada.
Amostradores básicos:
Calador para sacaria
Todas unidades armazenadoras convencionais deverão ser dotadas de amostradores tipo calador para sacaria, para atendimento aos Regulamentos Técnicos de Identidade e Qualidade estabelecidos pelo MAPA.
Calador composto (granel)
Todas as unidades armazenadoras de produto a granel deverão ser dotadas de amostradores tipo calador composto, com comprimento mínimo de 1,80 metro, que possibilite a obtenção de subamostras em diferentes alturas da carga.
Amostrador pneumático
As unidades armazenadoras de produto a granel poderão ser dotadas de amostradores tipo amostrador pneumático.
Amostrador de fluxo
As unidades armazenadoras de produto a granel poderão ser dotadas de amostradores de fluxo.
Sonda manual
As unidades armazenadoras de produto a granel, em nível de fazenda e as coletoras, poderão ser dotadas de sonda manual.
Homogeneizador e Quarteador
Todas unidades armazenadoras deverão ser dotadas de homogeneizadores e quarteador.
Arquivo de amostras
Todas as unidades armazenadoras deverão ter arquivo para armazenamento de vias de amostras.
Normas e procedimentos para amostragem:
Procedimento de amostragem para produtos ensacados Na recepção dos produtos ensacados deverá ser procedida a amostragem em conformidade aos Regulamentos Técnicos de Identidade e Qualidade estabelecidos pelo MAPA.
O produto coletado na amostragem deverá ser homogeneizado, extraindo-se uma amostra de trabalho e uma via para arquivo.
O restante deverá ser reincorporado ao lote.
Procedimento de amostragem para produtos em “big-bag”
Na recepção dos produtos “em big-bag” deverão ser amostrados todos os volumes usando calador composto.
O produto coletado na amostragem deverá ser homogeneizado, extraindo-se uma amostra de trabalho e uma via para arquivo.
O restante deverá ser reincorporado ao lote.
Procedimento de amostragem para produtos enfardados Na recepção deverão ser amostrados todos os fardos do lote conforme definido nos Regulamentos Técnicos de Identidade e Qualidade do MAPA.
Procedimento de amostragem para produtos a granel
Na recepção e expedição dos produtos a granel deverão ser amostrados usando no mínimo o número de pontos estabelecidos nos Regulamentos Técnicos de Identidade e Qualidade do MAPA.
O produto coletado na amostragem deverá ser homogeneizado, extraindo-se uma via da amostra de trabalho e uma via para arquivo. O restante deverá ser reincorporado ao lote.
Recomenda-se que as amostras referentes aos produtos recebidos úmidos sejam guardadas por três dias, e as relativas aos produtos secos e limpos (expedidos ou armazenados) pelo prazo definido nos Regulamentos Técnicos de Identidade e Qualidade do MAPA.
9. Determinação de qualidade de produto É o processo de classificação e determinação da qualidade de um lote de mercadoria. Este procedimento pode ocorrer em diferentes épocas em que o produto fica armazenado.
Recinto de análise
As unidades armazenadoras do tipo “em nível de fazenda”, coletoras, intermediárias e terminais deverão ser dotadas de um recinto para análise das amostras.
Determinador de umidade método indireto
Todas as unidades armazenadoras deverão ter determinador de umidade do tipo indireto que permita a leitura com uma casa decimal.
Determinador de umidade método direto
Todas as unidades armazenadoras poderão utilizar determinadores de umidade do método direto, para aferir os determinadores de método indireto.
Determinador de umidade de fluxo
Recomenda-se que todas as unidades armazenadoras a granel utilizem determinadores de umidade de fluxo.
Determinador de impurezas mecânico
Recomenda-se que todas as unidades armazenadoras tenham determinador de impurezas mecânico que utilizam jogos de peneiras de acordo com os Regulamentos Técnicos de Identidade e Qualidade estabelecidos pelo MAPA.
Identificador de transgenia
Todas as unidades armazenadoras deverão ser equipadas para detecção de produtos transgênicos, conforme legislação vigente. Os métodos de determinação deverão ser aprovados pelos órgãos competentes.
Indicador de toxinas
Recomenda-se que as unidades armazenadoras tenham procedimentos para avaliação de toxinas aprovados pelos órgãos competentes.
Balança de precisão
Todas as unidades armazenadoras deverão ter balança com precisão mínima de 0,1 grama para uso no laboratório de classificação de grãos.
Balança hectolítrica
Recomenda-se que todas as unidades armazenadoras tenham balança hectolítrica. Os armazéns que operam com trigo, aveia, centeio e cevada deverão ter o referido equipamento.
Jogos de peneiras
As unidades armazenadoras deverão possuir jogos de peneiras de acordo com os Regulamentos Técnicos de Identidade e Qualidade do MAPA.
Acessórios (lupa, paquímetro, pinças...)
Recomenda-se que todas as unidades armazenadoras tenham lupa, paquímetro digital, pinças, mesa de classificação e embalagens para amostras.Os armazéns que operam com arroz serão obrigados a utilizar o paquímetro digital.
Normas e procedimentos:
Procedimentos para determinação de impurezas
A primeira análise a ser realizada após a amostragem e homogeneização deverá ser a determinação do teor de impurezas. O teor de impurezas apurado deverá ser usado para o cálculo do desconto de peso do produto, conforme a seguinte equação:

em que,
Di = desconto de impurezas, kg;
Pi = massa inicial do produto, kg;
Ti = teor de impurezas do produto, %.
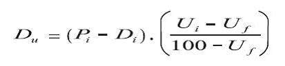
Procedimentos para determinação de umidade
A determinação de umidade deverá ser feita com o produto isento de impurezas. O cálculo do desconto de umidade deverá ser feito conforme a seguinte equação:

em que,
Du = desconto de umidade, kg;
Di = desconto de impureza, kg;
Ui = teor de umidade inicial, % base úmida;
Uf = teor de umidade final, % base úmida.
Recomenda-se que se faça aferições periódicas dos determinadores de umidade dos métodos indiretos com os determinadores de método direto.
Procedimentos para determinação de transgenia Conforme instruções do fabricante dos kits utilizados para referidos testes, desde que aprovado pelo MAPA.
Procedimentos para determinação de micotoxinas Para milho recomenda-se o teste usando radiação próxima da ultravioleta (luz negra, ou seja, com comprimento de onda entre 310 a 400 nm). O limite máximo admissível deve ser de cinco fluorescências para cada 200 gramas. Acima disso, recomenda-se análise de aflatoxina e outros métodos aprovados pelo MAPA.
Para os demais produtos adotar os testes e procedimentos aprovados pelo MAPA.
Indicadores do nível de infestação por insetos

10. Sistema de limpeza
O sistema de limpeza tem como objetivo reduzir o teor de impurezas e de matérias estranhas existentes na massa de grãos, permitindo uma secagem eficiente e uma aeração adequada para uma boa conservação.
As unidades armazenadoras “em nível de fazenda”, coletoras e intermediárias deverão ser dotadas de máquinas de pré-limpeza. Recomenda-se que as unidades armazenadoras “em nível de fazenda”, coletoras, intermediárias e terminais possuam também máquinas de limpeza.
Procedimentos
As operações de pré-limpezas e limpeza devem ser executadas de tal forma que o produto seja armazenado com no máximo 2% de impureza. As unidades armazenadoras devem utilizar as peneiras recomendadas de acordo com os Regulamentos Técnicos de Identidade e Qualidade estabelecidos pelo MAPA.
11. Sistema de secagem
O sistema de secagem é o processo de retirada de umidade da massa de grãos, objetivando a armazenagem segura dos produtos agrícolas.
As unidades armazenadoras “em nível de fazenda”, coletoras e intermediárias devem ser dotadas de equipamentos para secagem de grãos. Procedimentos
Recomenda-se que o produto ao entrar no secador deva ter no máximo 2% de impurezas. Recomenda-se que a operação de secagem seja executada de tal forma que o produto seja secado até atingir os seguintes teores de umidade:

12. Sistema de movimentação do produto
Compreende-se como sistema de movimentação interna de mercadoria os dispositivos e equipamentos para recepção e expedição dos grãos e outros produtos e os meios que se utiliza para transporte dos grãos na unidade armazenadora.
Nas unidades armazenadoras que trabalham com produtos a granel é obrigatória a existência de moegas, independente do material de construção e de dimensões.
É obrigatória a existência de moegas nas unidades armazenadoras convencionais.
13. Sistema de armazenagem
Sistema de controle elétrico
As unidades armazenadoras devem ser dotadas de sistema de proteção e comando, instalações elétricas, iluminação e força de acordo com as normas vigentes.
Sistema termometria
As unidades armazenadoras “em nível de fazenda”, coletoras e intermediárias devem ser dotadas de sistema de termometria. Recomenda-se o sistema de termometria para unidades terminais.
O número de pontos de leitura deve ser compatível com o tipo da estrutura e a capacidade estática do armazém. Deve-se usar no mínimo um ponto de leitura a cada 70 m3 de capacidade estática.
Toda unidade Armazenadora cuja construção se iniciar a partir da publicação das regras do Sistema Nacional de Certificação de Unidades Armazenadoras deverá possuir o sistema de termometria e para as unidades já existentes dar-se-á prazo de até cinco anos para a instalação deste equipamento.
As unidades armazenadoras a serem construídas a partir da publicação das normas do Sistema de Certificação deverão manter em arquivo o projeto do sistema de termometria.
Qualquer que seja a natureza da unidade armazenadora, fica excluída a necessidade de se instalar o sistema de termometria em silos-secadores.
Sistema de aeração
As unidades armazenadoras para produtos a granel, “em nível de fazenda”, coletoras e intermediárias devem ser dotadas de sistema de aeração. Recomenda-se o sistema de aeração para unidades terminais.
As estruturas de armazenagem do tipo vertical devem ser dotadas de sistema de ventilação com fluxo de ar de no mínimo 0,05 metro cúbico por minuto por tonelada de capacidade estática. Nas estruturas horizontais a vazão específica mínima deve ser de 0,1 metro cúbico por minuto por tonelada de capacidade estática.
Toda unidade armazenadora cuja construção se iniciar a partir da publicação das regras do Sistema Nacional de Certificação de Unidades Armazenadoras deverá possuir o sistema de aeração e para as unidades já existentes dar-se-á um prazo de até cinco anos para a instalação deste equipamento.
As unidades armazenadoras a serem implantadas a partir da publicação das normas do Sistema de Certificação deverão manter cópia do projeto de aeração disponível.
Espalhador de grãos
Recomenda-se que, para produtos depositados a granel, as unidades armazenadoras “em nível de fazenda”, coletoras, intermediárias e terminais sejam dotadas de espalhador de grãos.
Controle de pragas e roedores
Todas as unidades armazenadoras devem ser dotadas de equipamentos para controle de pragas e/ou manter contrato com empresas habilitadas, por órgão competente, para prestação de serviços no controle de pragas e roedores.
Recomenda-se a utilização de barreiras físicas (telas) para evitar o acesso de pássaros no interior dos armazéns.
Estrados
Todas as unidades armazenadoras convencionais deverão ser dotadas de estratos de madeira para facilitar a aeração das pilhas. No caso de armazém cujo piso é de concreto impermeabilizado ou de asfalto este equipamento é recomendado.
Sistema de exaustão
Toda unidade armazenadora cuja construção se iniciar a partir da publicação das regras do Sistema Nacional de Certificação de Unidades Armazenadoras deverá possuir o sistema de exaustão de ar, natural ou mecânico, e para as unidades já existentes dar-se-á prazo de até cinco anos para a instalação deste equipamento..
Equipamentos para acompanhamento meteorológico Recomenda-se que as unidades armazenadoras em nível de fazenda, coletoras e intermediárias sejam dotadas no mínimo de termômetro de mínima/máxima e psicrômetro devidamente instalado, para monitoramento das condições psicrométricas do ar ambiente.
Procedimentos para o sistema de termometria
O sistema de termometria deve permitir a leitura da temperatura registrada nos sensores instalados.
As unidades armazenadoras devem manter em arquivo o registro das leituras das temperaturas da massa de grãos.
Procedimentos para o sistema de aeração As unidades armazenadoras deverão adotar procedimento para operação do sistema de aeração, de acordo com as recomendações do Responsável Técnico.
As unidades armazenadoras devem manter em arquivo um registro dos períodos de aeração realizados, bem como das condições psicrométricas do ar durante a aeração.
Procedimentos para o controle de pragas e roedores
Nas unidades armazenadores somente podem ser utilizados agrotóxicos registrados pelos órgãos oficiais. As aplicações de agrotóxicos devem ser realizadas de acordo com as recomendações do Responsável Técnico. As unidades armazenadoras devem obedecer às regulamentações legais para descarte das embalagens de agrotóxicos.
Procedimentos para acompanhamento meteorológico
Recomenda-se que as unidades armazenadoras “em nível de fazenda”, coletoras e intermediárias mantenham em arquivo os registros dos dados climatológicos coletados sempre em um horário fixo, preferencialmente pela manhã.
14. Sistema de segurança
Sistema de captação de pó
Todas unidades armazenadoras devem ser dotadas de sistema de captação de pó, observando as legislações pertinentes às áreas ambientais, da saúde, trabalhista e de segurança.
Toda unidade armazenadora cuja construção se iniciar a partir da publicação das regras do Sistema Nacional de Certificação de Unidades Armazenadoras deverá possuir o sistema de exaustão de ar, natural ou mecânico, e para as unidades já existentes dar-se-á prazo de até cinco anos para a instalação deste equipamento.
Sistema de ventilação para ambientes confinados e semiconfinados Todas unidades armazenadoras devem ser dotadas de sistema de ventilação para remoção de gases tóxicos dos ambientes confinados e semi-confinados.
Sistema de combate de incêndio
Todas unidades armazenadoras devem ser dotadas de sistema de combate de incêndio que atenda às normas vigentes. Indicador de gases ou detectores de gases Recomenda-se que todas unidades armazenadoras sejam dotadas de (métodos de indicação) equipamentos detectores de gases tóxicos.
Equipamentos de proteção individual (EPIs)
Todas unidades armazenadoras devem ser dotadas de equipamentos para proteção individual, conforme Programa de Prevenção de Riscos Ambientais - PPRA.
Sistema de proteção contra fenômenos naturais
Recomenda-se que as unidades armazenadoras devam atender as orientações para proteção contra fenômenos naturais devem contemplar todas as orientações e exigências legais.
PPRA - Programa de Prevenção de Riscos Ambientais
Todas as unidades armazenadoras deverão dispor deste Programa, conforme exigências legais.
15. Demais requisitos
Responsável Técnico
Toda unidade armazenadora deverá possuir profissional habilitado na área de engenharia agronômica ou agrícola.
Sistema de Monitoramento de Resíduos Tóxicos
É recomendada que toda unidade armazenadora proceda, na entrada das mercadorias, uma avaliação visual dos estoques recebidos visando evitar o recebimento de produtos contaminados com resíduos tóxicos. No caso de constatação de produto contaminado, o recebimento daquele lote deverá ser suspenso.
Na suspeita de produtos contaminados com resíduos tóxicos, visíveis ou não, o responsável pela unidade deve comunicar imediatamente ao proprietário da mercadoria e solicitar um exame laboratorial mais detalhado.
Programas de Treinamento e Aperfeiçoamento Técnico Toda unidade armazenadora deverá possuir um programa de capacitação dos empregados. Para aqueles que atuam nas áreas operacionais, o programa deve possibilitar treinamento ou reciclagem que totalizam 24 horas anuais, no mínimo, nas áreas de armazenagem.
O treinamento deverá ser realizado através de instituição habilitada na área de armazenamento e atividades correlatas.
Sistema de Registros das Ocorrências Operacionais
Toda ocorrência operacional adotada com relação aos estoques depositados, desde o seu recebimento até a sua expedição, deverá ser registrada de forma auditável, de preferência informaticamente, para que se possa rastrear, por proprietário dos estoques, os procedimentos que foram adotados durante o período de armazenamento.
Programa de Monitoramento de Micotoxinas
Recomenda-se que todas as unidades armazenadoras procedam à realização de testes para monitoramento de micotoxinas nos grãos recebidos para armazenagem.
Quadro de pessoal
Todas as unidades armazenadoras deverão possuir quadro de pessoal compatível com o seu tamanho e operacionalização.
16. Documentação
O art. 16 do Decreto n. º 3.855/2001 que serão estabelecidas às condições técnicas e operacionais para a qualificação dos armazéns destinados à guarda e conservação de produtos agropecuários estabelece, em seu Parágrafo 1º que o Sistema Nacional de Certificação de Unidades Armazenadoras será desenvolvido de acordo com as regras e procedimentos do Sistema Brasileiro de Certificação, devendo dispor sobre as condições e as documentação exigíveis dos interessados.
Assim sendo, os documentos necessários para controle operacional e controle fiscal são os seguintes:
Documentos para controle operacional - Romaneios ou controles de recepção, onde devem constar informações sobre a pesagem, percentual de impurezas, teor de umidade, etc.
- Controle da operação de secagem, onde devem constar informações sobre a data de realização, horário inicial e final, temperatura do ar de secagem, temperatura e umidade relativa do ar ambiente, etc.
- Controle das operações fitossanitárias, onde devem constar informações sobre a data de realização, fumigante ou inseticida aplicado, dosagem utilizada, responsável técnico, etc.
- Planilha de registro das leituras do sistema de termometria.
- Controle de aeração, onde devem constar informações sobre a data de realização, horário inicial e final, temperatura e umidade relativa do ar ambiente, etc.
- Relatórios periódicos das supervisões realizadas pelo responsável técnico, para acompanhamento e controle das condições qualitativas dos produtos armazenados.
- Apólice de Seguro
Esses registros deverão ser mantidos em arquivo enquanto durarem os estoques, acrescido de um ano. Documentos para controle fiscal
- Notas Fiscais de Entrada
- Notas Fiscais de Saída
- Notas Fiscais de Serviços
Esses documentos deverão ser mantidos em arquivo pelo período definido na legislação pertinente.
(*) N. da COEJO: Republicado por ter saído, no DOU nº 222, de 21/11/2006, Seção 1, págs. 3 a 6, com incorreção. |